Задать свой вопрос   *более 50 000 пользователей получили ответ на «Решим всё»

Задача 75864 Вычислите указанные суммы целых чисел ...

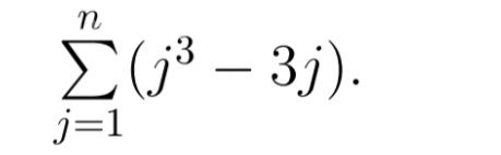
Условие

Вычислите указанные суммы целых чисел

нет в списке ВУЗ 83

Решение

j = 1: 1^3 - 3*1 = 1 - 3 = -2
j = 2: -2 + 2^3 - 3*2 = -2 + 8 - 6 = 0 (-2 - это предыдущая сумма)
j = 3: 0 + 3^3 - 3*3 = 0 + 27 - 9 = 18
j = 4: 18 + 4^3 - 3*4 = 18 + 64 - 12 = 70
И так далее, смотря до какого n вам надо.

Написать комментарий

Меню

Присоединяйся в ВК