Задать свой вопрос
*более 50 000 пользователей получили ответ на «Решим всё»
Задача 75394
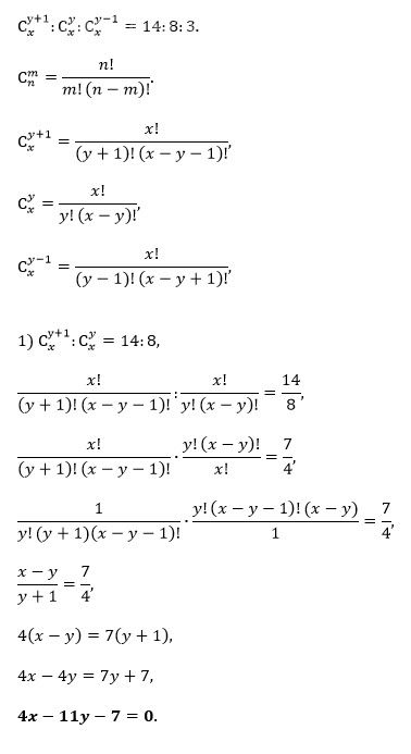
C_x^{n+1} · C^x_y · C_x^{n-1} = 14:8:3...
Условие
65a662ddd2c3730ce11fd1a5
1/16/2024 11:12:49 AM
C_x^{n+1} · C^x_y · C_x^{n-1} = 14:8:3
математика ВУЗ
183
Решение
5f3eaa23faf909182968dde0
1/16/2024 2:08:13 PM
★
Написать комментарий
Меню
Решим всё
Найти задачу
Категории
Статьи
Тесты
Архив задач
Присоединяйся в ВК