Задать свой вопрос
*более 50 000 пользователей получили ответ на «Решим всё»
Задача 75392
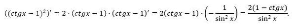
решить! ((ctgx-1)^2)^1...
Условие
659d4ba79ae5ec093245484d
1/16/2024 8:30:55 AM
решить! ((ctgx-1)^2)^1
математика 10-11 класс
166
Решение
5f3eaa23faf909182968dde0
1/16/2024 2:38:15 PM
★
Написать комментарий
Меню
Решим всё
Найти задачу
Категории
Статьи
Тесты
Архив задач
Присоединяйся в ВК