Задать свой вопрос   *более 50 000 пользователей получили ответ на «Решим всё»

Задача 75240 ...

Условие

Формула сложения для тригонометрических функций

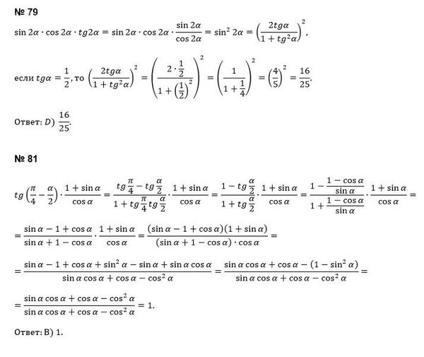
79. Найдите значение выражения sin2α-cos2α-tg2α,
если tgα = 1/2

A) 25/16 B) 1/2 C) 1/4 D) 16/25 E) 1

81. Упростите выражение tg (π/4 - a/2) . 1+sinα/cosα.

A) 2cos^2 α/2 B) 1 C) 2sin^2 α/2 D) tg^2 α/2 E) -1+1^0

математика 10-11 класс 190

Решение

Написать комментарий

Меню

Присоединяйся в ВК