Задать свой вопрос
*более 50 000 пользователей получили ответ на «Решим всё»
Задача 75217
...
Условие
659847ad9ae5ec0932453fb3
1/5/2024 6:41:54 PM
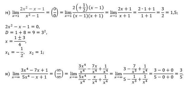
m) lim x→-1 (2x^2 - x - 1)/(x^2 - 1)
h) lim x→∞ (3x^4 - 7x + 1)/(5x^4 - x + 1)
математика 10-11 класс
191
Решение
5f3eaa23faf909182968dde0
1/6/2024 6:55:20 AM
★
Написать комментарий
Меню
Решим всё
Найти задачу
Категории
Статьи
Тесты
Архив задач
Присоединяйся в ВК