Задать свой вопрос   *более 50 000 пользователей получили ответ на «Решим всё»

Задача 75144 ...

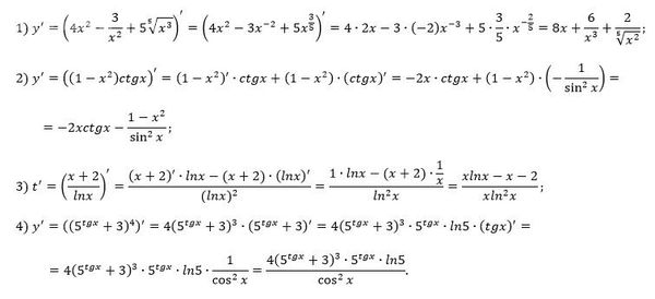
Условие

Найдите производные функции:

1) y = 4x^2 - 3/x^2 + 5√x^3

2) y = (1 - x^2) ctg x

3) y = (x+2)/ln x

4) y = (5^(tg 2x) + 3)^4

математика колледж 215

Решение

Написать комментарий

Меню

Присоединяйся в ВК