Задать свой вопрос
*более 50 000 пользователей получили ответ на «Решим всё»
Задача 75036
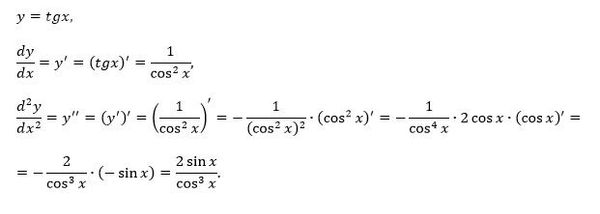
Продифференцировать данную функцию....
Условие
653a4494df8de70c102f42e7
12/22/2023 6:58:27 PM
Продифференцировать данную функцию. Найти
производную сначала y'=dy/dx а потом y''=d^2y/dx^2
математика ВУЗ
136
Решение
5f3eaa23faf909182968dde0
12/22/2023 8:05:50 PM
★
Написать комментарий
Меню
Решим всё
Найти задачу
Категории
Статьи
Тесты
Архив задач
Присоединяйся в ВК