Задать свой вопрос
*более 50 000 пользователей получили ответ на «Решим всё»
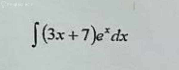
Задача 75023
Найти интеграл методом интегрирования по...
Условие
6524cdbaa1c2644e05ce8aff
12/22/2023 3:45:05 PM
Найти интеграл методом интегрирования по частям (рассписать)
математика колледж
173
Решение
5f3eaa23faf909182968dde0
12/23/2023 8:45:52 PM
★
Написать комментарий
Меню
Решим всё
Найти задачу
Категории
Статьи
Тесты
Архив задач
Присоединяйся в ВК