Задать свой вопрос
*более 50 000 пользователей получили ответ на «Решим всё»
Задача 74936
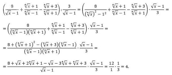
Упростите выражение: ...
Условие
632f635587d19127bff140f0
12/20/2023 5:45:04 PM
Упростите выражение:
математика 10-11 класс
217
Решение
5f3eaa23faf909182968dde0
12/21/2023 1:22:04 PM
★
Написать комментарий
Меню
Решим всё
Найти задачу
Категории
Статьи
Тесты
Архив задач
Присоединяйся в ВК