Задать свой вопрос   *более 50 000 пользователей получили ответ на «Решим всё»

Задача 74811 Допоможіть, будь ласка, мені потрібно...

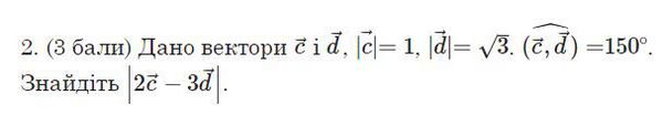
Условие

Допоможіть, будь ласка, мені потрібно терміново

10-11 класс 99

Решение

|2[b]c[/b]-3[b]d[/b]|=sqrt((2[b]c[/b]-3[b]d[/b])^(2))=sqrt(4[b]c[/b]^(2)-12[b]cd[/b]+9[b]d[/b]^(2))=
=sqrt(4*|[b]c[/b]|^(2)-12*|[b]c[/b]|*|[b]d[/b]|*cos([b]c,d[/b])+9|[b]d[/b]|^(2))=
=sqrt(4*1^(2)-12*1*sqrt(3)*cos150^(o)+9*(sqrt(3))^(2))=
=sqrt(4-12sqrt(3)*((-sqrt(3))/2)+9*3)=sqrt(4+18+27)=sqrt(49)=7.
Ответ: 7.

Написать комментарий

Меню

Присоединяйся в ВК