Задать свой вопрос   *более 50 000 пользователей получили ответ на «Решим всё»

Задача 74771 Решить систему линейных дифференциальных...

Условие

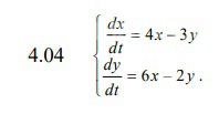
Решить систему линейных дифференциальных уравнений
1) методом сведения к уравнению второго порядка;
2) методом характеристического уравнения.

математика ВУЗ 133

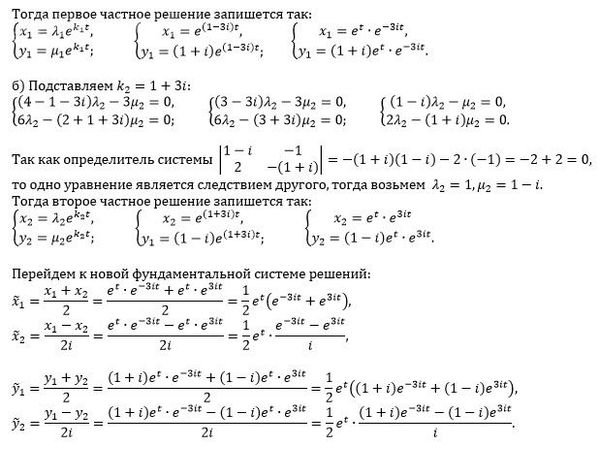
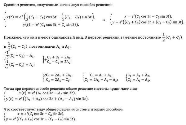
Решение

Написать комментарий

Меню

Присоединяйся в ВК