Задать свой вопрос   *более 50 000 пользователей получили ответ на «Решим всё»

Задача 74758 Допоможіть, будь ласка. Потрібно на...

Условие

Допоможіть, будь ласка. Потрібно на завтра до 13.00
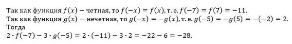
3) Функция f(x) четная, а функция д(х) нечетная.
f(7) = 11; g(5) = –2.
Вычисли 2. f(-7)-3g(-5). (2 балла)

107

Решение

Написать комментарий

Меню

Присоединяйся в ВК