Задать свой вопрос
*более 50 000 пользователей получили ответ на «Решим всё»
Задача 74489
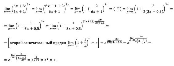
Найти предел функции ...
Условие
636fe00ec74ebf2c96290034
12/2/2023 3:34:39 PM
Найти предел функции
103
Решение
5f3eaa23faf909182968dde0
12/3/2023 9:00:07 AM
★
Написать комментарий
Меню
Решим всё
Найти задачу
Категории
Статьи
Тесты
Архив задач
Присоединяйся в ВК