Задать свой вопрос
*более 50 000 пользователей получили ответ на «Решим всё»
Задача 74457
34...
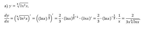
Условие
621c64f203a81f78a0a5014c
12/1/2023 10:25:19 AM
34
математика ВУЗ
162
Решение
5f3eaa23faf909182968dde0
12/2/2023 5:21:41 AM
★
Написать комментарий
Меню
Решим всё
Найти задачу
Категории
Статьи
Тесты
Архив задач
Присоединяйся в ВК