Задать свой вопрос
*более 50 000 пользователей получили ответ на «Решим всё»
Задача 74410
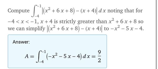
вычислить площадь плоской фигуры...
Условие
65671177c422bc42698b328b
11/29/2023 10:26:00 AM
вычислить площадь плоской фигуры y=x^2+6x+8 и y=x+4
математика ВУЗ
146
Решение
5f282cfba9074b3a3bc0f013
11/29/2023 4:09:37 PM
★
Написать комментарий
Меню
Решим всё
Найти задачу
Категории
Статьи
Тесты
Архив задач
Присоединяйся в ВК