Задать свой вопрос
*более 50 000 пользователей получили ответ на «Решим всё»
Задача 74409
Задача номер 1.15...
Условие
656464b37b7a304154edcd10
11/29/2023 10:18:27 AM
Задача номер 1.15
математика колледж
155
Решение
5f3eaa23faf909182968dde0
11/29/2023 11:15:13 AM
★
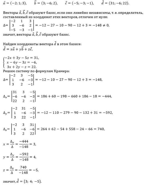
[b]№ 3.15.[/b]
Написать комментарий
Меню
Решим всё
Найти задачу
Категории
Статьи
Тесты
Архив задач
Присоединяйся в ВК