Задать свой вопрос
*более 50 000 пользователей получили ответ на «Решим всё»
Задача 74368
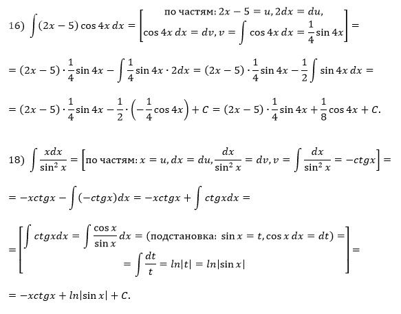
(18.) Используя интегрирование по...
Условие
651976b972aa80230d66ede2
11/26/2023 9:05:21 PM
(18.) Используя интегрирование по частям,найти не определённые интеграллы
математика колледж
235
Решение
5f3eaa23faf909182968dde0
11/26/2023 10:02:47 PM
★
Написать комментарий
Меню
Решим всё
Найти задачу
Категории
Статьи
Тесты
Архив задач
Присоединяйся в ВК