Задать свой вопрос
*более 50 000 пользователей получили ответ на «Решим всё»
Задача 74353
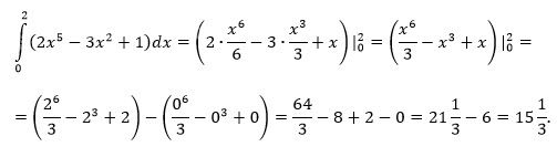
вычислить определённый интеграл...
Условие
6432b3ec39c9cc4a69802ad1
11/26/2023 1:11:01 PM
вычислить определённый интеграл
математика колледж
145
Решение
5f3eaa23faf909182968dde0
11/26/2023 5:18:14 PM
★
Написать комментарий
Меню
Решим всё
Найти задачу
Категории
Статьи
Тесты
Архив задач
Присоединяйся в ВК