Задать свой вопрос
*более 50 000 пользователей получили ответ на «Решим всё»
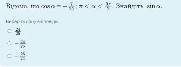
Задача 74229
Допоможіть, будь ласка. Потрібно на...
Условие
63a574f471db7b20f18f0ef7
11/22/2023 7:50:14 AM
Допоможіть, будь ласка. Потрібно на сьогодні до 19.00
10-11 класс
125
Решение
5f3eaa23faf909182968dde0
11/22/2023 11:42:29 AM
★
Написать комментарий
Меню
Решим всё
Найти задачу
Категории
Статьи
Тесты
Архив задач
Присоединяйся в ВК