Задать свой вопрос
*более 50 000 пользователей получили ответ на «Решим всё»
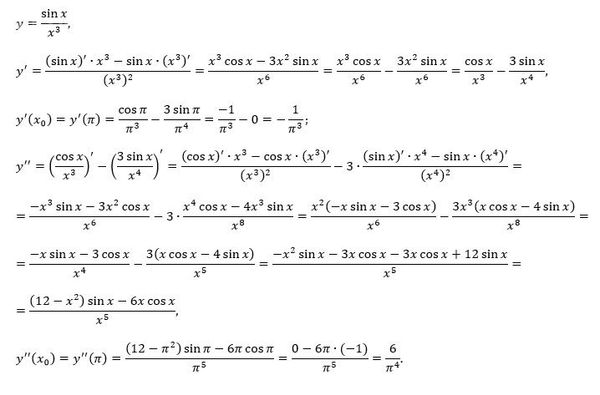
Задача 74192
Найти значение первой и второй...
Условие
655b642e647d7111c0b9d4d8
11/21/2023 5:29:30 AM
Найти значение первой и второй производной функции
математика 10-11 класс
200
Решение
5f3eaa23faf909182968dde0
11/21/2023 7:03:20 AM
★
Написать комментарий
Меню
Решим всё
Найти задачу
Категории
Статьи
Тесты
Архив задач
Присоединяйся в ВК