Задать свой вопрос
*более 50 000 пользователей получили ответ на «Решим всё»
Задача 74078
...
Условие
621c64f203a81f78a0a5014c
11/15/2023 4:14:43 PM
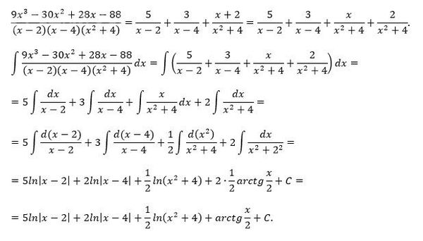
∫ (9x^3 - 30x^2 + 28x - 88) / ((x - 2)(x - 4)(x^2 + 4)) dx
математика ВУЗ
156
Решение
5f3eaa23faf909182968dde0
11/15/2023 4:34:05 PM
★
Написать комментарий
Меню
Решим всё
Найти задачу
Категории
Статьи
Тесты
Архив задач
Присоединяйся в ВК