Задать свой вопрос
*более 50 000 пользователей получили ответ на «Решим всё»
Задача 74031
...
Условие
653a4494df8de70c102f42e7
11/13/2023 2:47:55 PM
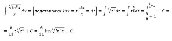
∫ (6√(ln^5 x/x)) dx ;
математика ВУЗ
165
Решение
5f3eaa23faf909182968dde0
11/13/2023 7:59:36 PM
★
Написать комментарий
Меню
Решим всё
Найти задачу
Категории
Статьи
Тесты
Архив задач
Присоединяйся в ВК