Задать свой вопрос
*более 50 000 пользователей получили ответ на «Решим всё»
Задача 74003
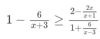
1-(6)/(x+3)>=(2-(2x)/(x+1))/(1+(6)/(x-3))...
Условие
654fa16850c6682656d988bf
11/11/2023 3:47:38 PM
1-(6)/(x+3)>=(2-(2x)/(x+1))/(1+(6)/(x-3))
математика 10-11 класс
166
Решение
5f3eaa23faf909182968dde0
11/12/2023 2:09:04 PM
★
Написать комментарий
Меню
Решим всё
Найти задачу
Категории
Статьи
Тесты
Архив задач
Присоединяйся в ВК