Задать свой вопрос   *более 50 000 пользователей получили ответ на «Решим всё»

Задача 73868 Выполните 1 вариант практической работы...

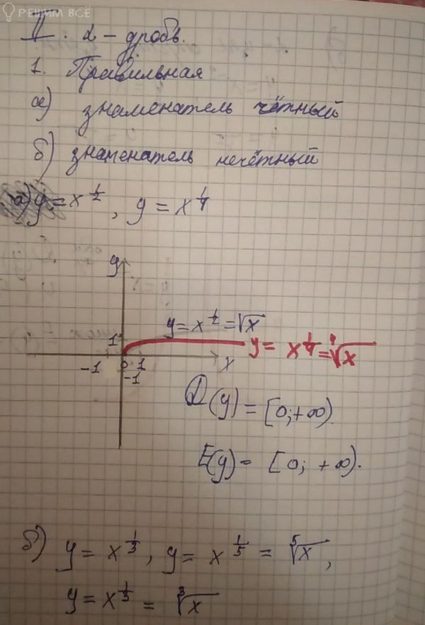
Условие

Выполните 1 вариант практической работы по теме "Построение графиков степенных функций. Элементарные преобразования графиков функций" с оформлением из тетради на фото

математика колледж 234

Решение

Написать комментарий

Меню

Присоединяйся в ВК