Задать свой вопрос
*более 50 000 пользователей получили ответ на «Решим всё»
Задача 73836
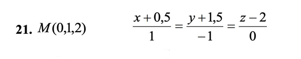
Найти точку , симметричную точке...
Условие
5f808424d7e1e679bf435f93
30.10.2023 21:40:39
Найти точку , симметричную точке относительно прямой
нет в списке колледж
113
Решение
5f3eaa23faf909182968dde0
30.10.2023 22:20:20
★
Написать комментарий
Меню
Решим всё
Найти задачу
Категории
Статьи
Тесты
Архив задач
Присоединяйся в ВК