Задать свой вопрос
*более 50 000 пользователей получили ответ на «Решим всё»
Задача 73822
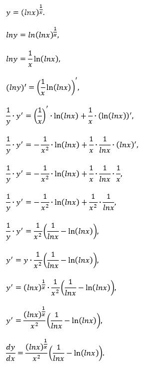
Продифференцировать данные функции...
Условие
653a4494df8de70c102f42e7
30.10.2023 17:58:17
Продифференцировать данные функции .Найти производные dy/dx
математика ВУЗ
159
Решение
5f3eaa23faf909182968dde0
30.10.2023 20:46:02
★
Написать комментарий
Меню
Решим всё
Найти задачу
Категории
Статьи
Тесты
Архив задач
Присоединяйся в ВК