Задать свой вопрос
*более 50 000 пользователей получили ответ на «Решим всё»
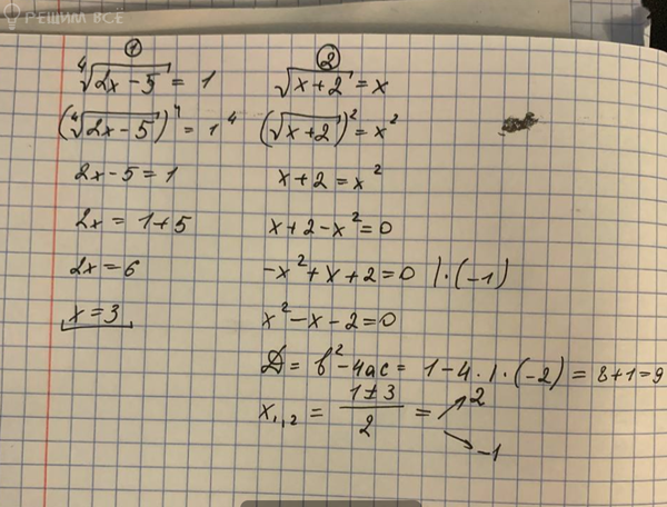
Задача 73699
Плиз решите! Спасибо)...
Условие
6138fb60bdb7e738ec381651
24.10.2023 17:50:02
Плиз решите! Спасибо)
математика 10-11 класс
249
Решение
6537d56bb340544d15617ccc
24.10.2023 17:58:46
★
подробнее ниже
Ответ:
1) 3 ; 2) 2 и -1
Написать комментарий
Меню
Решим всё
Найти задачу
Категории
Статьи
Тесты
Архив задач
Присоединяйся в ВК