Задать свой вопрос
*более 50 000 пользователей получили ответ на «Решим всё»
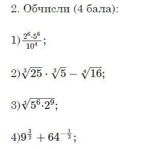
Задача 73656
Допоможіть, будь ласка. Потрібно на...
Условие
63a574f471db7b20f18f0ef7
23.10.2023 09:08:28
Допоможіть, будь ласка. Потрібно на завтра до 12.00
10-11 класс
87
Решение
5f3eaa23faf909182968dde0
23.10.2023 10:02:10
★
Написать комментарий
Меню
Решим всё
Найти задачу
Категории
Статьи
Тесты
Архив задач
Присоединяйся в ВК