Задать свой вопрос
*более 50 000 пользователей получили ответ на «Решим всё»
Задача 73607
ребята, как показать решение? Спасибо ...
Условие
64d4935a275c702180ad6076
20.10.2023 20:51:11
ребята, как показать решение? Спасибо
математика 10-11 класс
168
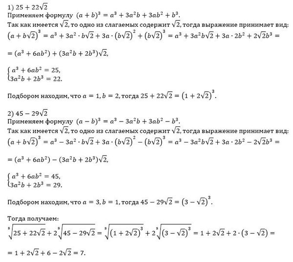
Решение
5f3eaa23faf909182968dde0
20.10.2023 23:00:12
★
Написать комментарий
Меню
Решим всё
Найти задачу
Категории
Статьи
Тесты
Архив задач
Присоединяйся в ВК