Задать свой вопрос
*более 50 000 пользователей получили ответ на «Решим всё»
Задача 73422
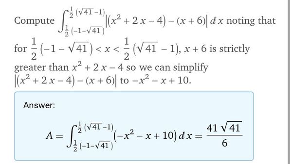
Найдите площадь плоской фигуры,...
Условие
652d555a533e193062d0de14
16.10.2023 18:24:27
Найдите площадь плоской фигуры, ограниченной линиями y= x^2+ 2x -4 ; y= x+6
математика 10-11 класс
198
Решение
5f282cfba9074b3a3bc0f013
16.10.2023 20:32:03
★
Написать комментарий
Меню
Решим всё
Найти задачу
Категории
Статьи
Тесты
Архив задач
Присоединяйся в ВК