Задать свой вопрос
*более 50 000 пользователей получили ответ на «Решим всё»
Задача 73240
Найти все углы периметр и площадь...
Условие
6524cbac13a69577bc1055d7
10.10.2023 06:58:22
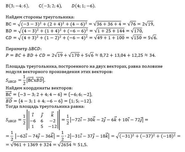
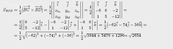
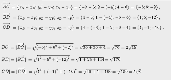
Найти все углы периметр и площадь треугольника с вершинами B (3; -4; 6) C (-3; 2; 4 ) D (4; 1;-6)
453
Решение
5f3eaa23faf909182968dde0
10.10.2023 09:13:14
★
Все решения
5f3ea7e3faf909182968ddd9
10.10.2023 09:11:38
Написать комментарий
Меню
Решим всё
Найти задачу
Категории
Статьи
Тесты
Архив задач
Присоединяйся в ВК