Задать свой вопрос
*более 50 000 пользователей получили ответ на «Решим всё»
Задача 72956
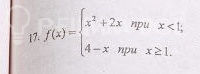
Исследовать функцию на непрерывность и...
Условие
6519770372aa80230d66ede4
01.10.2023 16:49:08
Исследовать функцию на непрерывность и построить ее график
математика колледж
144
Решение
5f3eaa23faf909182968dde0
01.10.2023 20:17:59
★
Написать комментарий
Меню
Решим всё
Найти задачу
Категории
Статьи
Тесты
Архив задач
Присоединяйся в ВК