Задать свой вопрос   *более 50 000 пользователей получили ответ на «Решим всё»

Задача 72886 Решить полностью...

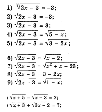
Условие

Решить полностью

математика 8-9 класс 176

Решение

1) Возводим в куб
2x - 3 = -27
2x = -24
x = -12

2) Решений нет, потому что квадратный корень - арифметический и должен быть >= 0
Поэтому правая часть уравнения тоже должна быть >= 0.

3) ОДЗ: x >= 3/2
Возводим в квадрат
2x - 3 = 9
2x = 12
x = 6

4) ОДЗ:
{ 2x - 3 >= 0; x >= 3/2
{ 5 - x >= 0; x <= 5
x ∈ [3/2; 5]
Возводим в квадрат обе части
2x - 3 = 5 - x
2x + x = 5 + 3
3x = 8
x = 8/3 ∈ [3/2; 5] - подходит

5) ОДЗ:
{ 2x - 3 >= 0; x >= 3/2
{ 3 - 2x > = 0; x <= 3/2
Такое может быть только в одном случае:
2x - 3 = 3 - 2x = 0
x = 3/2

6) ОДЗ:
{ 2x - 3 >= 0; x >= 3/2
{ x - 2 >= 0; x >= 2
x >= 2
Возводим в квадрат обе части
2x - 3 = x - 2
2x - x = 3 - 2
x = 1 < 2 - не подходит по ОДЗ.
Решений нет.

7) ОДЗ:
{ 2x - 3 >= 0; x >= 3/2
{ x^2 + x - 23 >= 0
Это трудно посчитать, проще решить уравнение, а потом проверить.
Возводим в квадрат обе части
2x - 3 = x^2 + x - 23
x^2 - x - 20 = 0
(x + 4)(x - 5) = 0
x1 = -4 < 3/2 - не подходит
x2 = 5 > 3/2;
Проверяем второе условие.
5^2 + 5 - 23 = 7 > 0 - подходит.
x = 5

8) Тут, как и в 5)
2x - 3 = 3 - 2x = 0
x = 3/2

9) ОДЗ:
{ 2x - 3 >= 0 x >= 3/2
{ 1 - x >= 0; x <= 1
Система противоречива, поэтому решений нет.

10) ОДЗ:
{ x + 5 >= 0 x >= -5
{ x - 3 >= 0; x >= 3
x >= 3
Возводим в квадрат обе части. Слева квадрат разности.
x + 5 + x - 3 - 2*sqrt((x+5)(x-3)) = 4
2x + 2 - 2*sqrt((x+5)(x-3)) = 4
Делим всё уравнение на 2 и приводим подобные.
sqrt((x+5)(x-3)) = x - 1
Так как корень арифметический, то правая часть должна быть >= 0.
x - 1 >= 0
По ОДЗ x >= 3, поэтому x - 1 >= 2 > 0 - подходит.
Снова возводим в квадрат обе части.
x^2 + 2x - 15 = x^2 - 2x + 1
4x = 16
x = 4 > 3 - подходит.

11) ОДЗ:
{ x + 3 >= 0 x >= -3
{ 3x - 2 >= 0; x >= 2/3
x >= 2/3
Возводим в квадрат обе части. Слева квадрат суммы.
x + 3 + 3x - 2 + 2sqrt((x+3)(3x-2)) = 49
4x + 1 + 2sqrt(3x^2+7x-6) = 49
Делим всё уравнение на 2 и приводим подобные.
sqrt(3x^2+7x-6) = 24 - 2x
Так как корень арифметический, то правая часть должна быть >= 0.
24 - 2x >= 0
x <= 12
ОДЗ: x ∈ [2/3; 12]
Возводим снова в квадрат обе части.
3x^2 + 7x - 6 = 576 - 96x + 4x^2
x^2 - 103x + 582 = 0
D = 103^2 - 4*582 = 8281 = 91^2
x1 = (103 - 91)/2 = 12/2 = 6 ∈ [2/3; 12] - подходит
x2 = (103 + 91)/2 = 194/2 > 12 - не подходит
x = 6

Как видим, при решении задач с квадратными корнями очень важно следить за ОДЗ.

Все решения

В задании 3) ОДЗ не нужно, т.к. правая часть - число 3>0.

Написать комментарий

Меню

Присоединяйся в ВК