Задать свой вопрос   *более 50 000 пользователей получили ответ на «Решим всё»

Задача 72757 плиз с решением ...

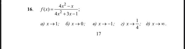
Условие

плиз с решением

математика ВУЗ 142

Решение

[m]\lim_{x \to x_{o} }\frac{4x^2-x}{4x^2+3x-1}=[/m]

a)
[m]x_{o}=1[/m]

[m]\lim_{x \to1 }\frac{4x^2-x}{4x^2+3x-1}=\frac{4\cdot 1^2-1}{4\cdot 1^2+3\cdot 1-1}=\frac{3}{6}=\frac{1}{2}[/m]

б)
[m]x_{o}=0[/m]

[m]\lim_{x \to1 }\frac{4x^2-x}{4x^2+3x-1}=\frac{4\cdot 0^2-0}{4\cdot 0^2+3\cdot 0-1}=\frac{0}{(-1)}=0[/m]

в)
[m]x_{o}=-1[/m]

[m]\lim_{x \to -1 }\frac{4x^2-x}{4x^2+3x-1}=\frac{4\cdot (-1)^2-(-1)}{4\cdot (-1)^2+3\cdot (-1)-1}=\frac{5}{4-4}=+ ∞ [/m]

В знаменателе бесконечно малая ( 0). Обратная бесконечно малой есть бесконечно большая ( ∞ )

г)
[m]x_{o}=\frac{1}{4}[/m]

[m]\lim_{x \to\frac{1}{4} }\frac{4x^2-x}{4x^2+3x-1}=\frac{4\cdot (\frac{1}{4})^2-\frac{1}{4}}{4\cdot \frac{1}{4}^2+3\cdot \frac{1}{4}-1}=\frac{1-1)}{\frac{1}{4}+\frac{3}{4}-1}=\frac{0}{0}[/m]

неопределенность.

Раскладываем на множители и числитель и знаменатель:

[m]=\lim_{x \to\frac{1}{4} }\frac{x(4x-1)}{(4x-1)(x+1)}=[/m]


сокращаем на [m](4x-1)[/m]

[m]=\lim_{x \to \frac{1}{4} }\frac{x}{x+1}=\frac{\frac{1}{4}}{\frac{1}{4}+1}=\frac{1}{5}[/m]

д)

[m]x_{o}=\infty [/m]

[m]\lim_{ \to \infty }\frac{4x^2-x}{4x^2+3x-1}=\frac{∞}{∞}[/m]

Неопределенность.

Делим числитель и знаменатель на x^2:

[m]=\lim_{ \to \infty }\frac{\frac{4x^2-x}{x^2}}{\frac{4x^2+3x-1}{x^2}}=[/m]

Делим [i] почленно[/i], те каждое слагаемое числителя делим на [m]x^2[/m] и
каждое слагаемое знаменателя делим на [m]x^2[/m]:

[m]=\lim_{ \to \infty }\frac{\frac{4x^2}{x^2}-\frac{x}{x^2}}{\frac{4x^2}{x^2}+\frac{3x}{x^2}-\frac{1}{x^2}}=[/m]

[m]=\lim_{ \to \infty }\frac{4-\frac{1}{x}}{4+\frac{3}{x}-\frac{1}{x^2}}=\frac{4-0}{4+0-0}=\frac{4}{4}=1[/m]


Написать комментарий

Меню

Присоединяйся в ВК