Задать свой вопрос
*более 50 000 пользователей получили ответ на «Решим всё»
Задача 72669
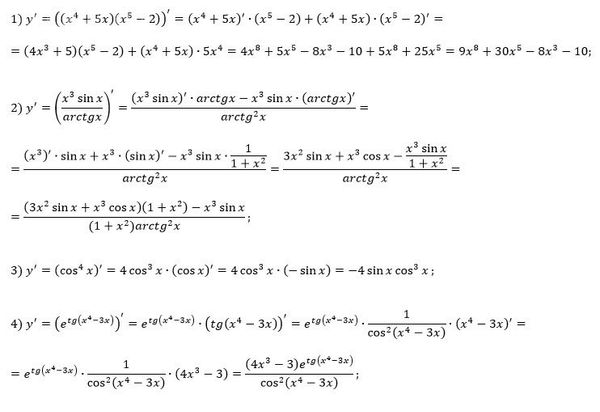
Вычислить производные функций 1 - 6...
Условие
6504d1fc030c9b5f792a8227
17.09.2023 21:26:17
Вычислить производные функций 1 - 6
математика 10-11 класс
207
Решение
5f3eaa23faf909182968dde0
18.09.2023 07:51:03
★
Написать комментарий
Меню
Решим всё
Найти задачу
Категории
Статьи
Тесты
Архив задач
Присоединяйся в ВК