Задать свой вопрос
*более 50 000 пользователей получили ответ на «Решим всё»
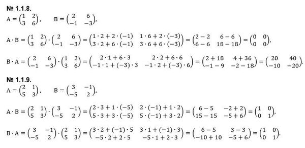
Задача 72362
Найти произведение матриц AB и...
Условие
64c75b82b635261bba022a6f
10.08.2023 17:13:19
Найти произведение матриц AB и BA
решите 1.1.8 и 1.1.9
математика ВУЗ
336
Решение
5f3eaa23faf909182968dde0
10.08.2023 22:45:37
★
Написать комментарий
Меню
Решим всё
Найти задачу
Категории
Статьи
Тесты
Архив задач
Присоединяйся в ВК