Задать свой вопрос
*более 50 000 пользователей получили ответ на «Решим всё»
Задача 72260
как решить?...
Условие
61be324ae999dc4d8f52fd53
17.07.2023 14:15:41
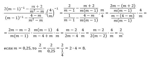
как решить?
математика 10-11 класс
183
Решение
5f3eaa23faf909182968dde0
17.07.2023 17:49:51
★
Написать комментарий
Меню
Решим всё
Найти задачу
Категории
Статьи
Тесты
Архив задач
Присоединяйся в ВК