Задать свой вопрос   *более 50 000 пользователей получили ответ на «Решим всё»

Задача 72001 ...

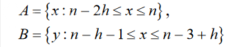
Условие

Изобразите в декартовой системе координат множество точек A × B
заместь n (11) а заместь h (1)

математика ВУЗ 200

Решение

A={x: 11-2*1 ≤ x ≤ 11} ⇒ A={x: 9 ≤ x ≤ 11}

B={y: 11-1-1 ≤ y ≤ 11-3+1} ⇒ B={y: 9 ≤ y ≤ 9}


[b]A × B={(x;y):9 ≤ x ≤ 11, 9 ≤ y ≤ 9}[/b]

Написать комментарий

Меню

Присоединяйся в ВК