Задать свой вопрос   *более 50 000 пользователей получили ответ на «Решим всё»

Задача 71996 Даны вершины тетраэдра A(0, 0, 2), B(3,...

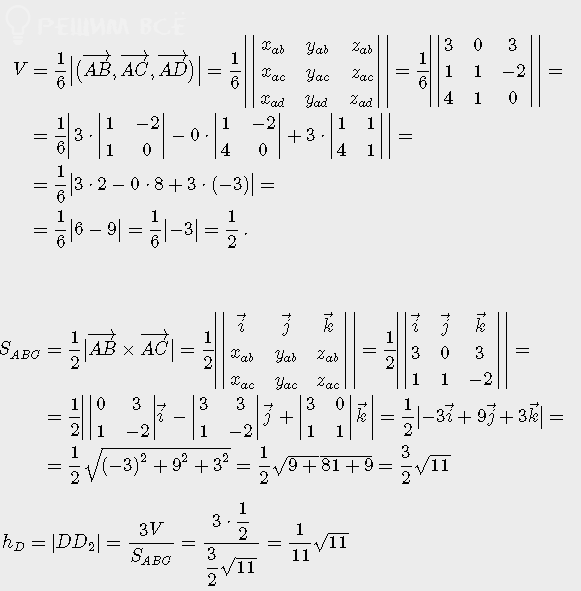
Условие

Даны вершины тетраэдра A(0, 0, 2), B(3, 0, 5), C(1, 1, 0) и D(4, 1, 2). Вычислить длину высоты, опущенной из вершины D на грань ABC.

нет в списке ВУЗ 915

Решение

Написать комментарий

Меню

Присоединяйся в ВК