Задать свой вопрос
*более 50 000 пользователей получили ответ на «Решим всё»
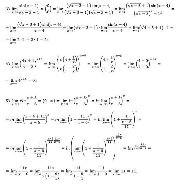
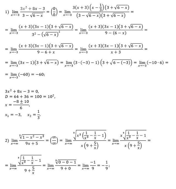
Задача 71976
Вычислить пределы функций, не пользуясь...
Условие
64823abf324ae32bf3849ed2
08.06.2023 23:35:21
Вычислить пределы функций, не пользуясь средствами
дифференциального исчисления.
математика ВУЗ
147
Решение
5f3eaa23faf909182968dde0
11.06.2023 19:11:10
★
Написать комментарий
Меню
Решим всё
Найти задачу
Категории
Статьи
Тесты
Архив задач
Присоединяйся в ВК