Задать свой вопрос
*более 50 000 пользователей получили ответ на «Решим всё»
Задача 71966
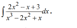
(2x^2 -x +3) / (x^3 - 2x^2 + x) ...
Условие
6468af30ec3d7954a9ee2f84
07.06.2023 20:43:24
(2x^2 -x +3) / (x^3 - 2x^2 + x)
155
Решение
5f3eaa23faf909182968dde0
08.06.2023 17:30:58
★
Написать комментарий
Меню
Решим всё
Найти задачу
Категории
Статьи
Тесты
Архив задач
Присоединяйся в ВК