[m]\frac{\sqrt{3}}{cost}=x[/m]
[m]x^2-3=(\frac{\sqrt{3}}{cost})^2-3[/m]
[m]x^2-3=3tg^2t[/m] ⇒ [m]\sqrt{x^2-3}=\sqrt{3}tgt[/m]
[m]dx=(\frac{\sqrt{3}}{cost})`dt[/m] ⇒ [m]dx=(\frac{\sqrt{3}}{cost})`dt[/m] ⇒ [m]dx=\frac{\sqrt{3}sint}{cos^2t}dt[/m]
[m]∫\frac{\sqrt{x^2-3}}{x^4}dx= ∫ \frac{\sqrt{3}tgt}{(\frac{\sqrt{3}}{cost})^2}\cdot \frac{\sqrt{3}sint}{cos^2t}dt= ∫\frac{sin^2t}{cost}dt= ∫\frac{1-cos^t}{cost}= ∫ \frac{1}{cost}dt- ∫ costdt=[/m]
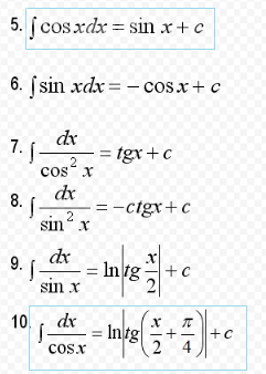
табличные интегралы
[m]=ln|tg(\frac{t}{2}+\frac{π}{4})|-sint+C[/m]
Обратный переход к переменной х
[m]\frac{\sqrt{3}}{cost}=x[/m] ⇒[m] cost=\frac{\sqrt{3}}{x}[/m] ⇒ [m]sint=\sqrt{1-cos^2t}=\sqrt{1-(\frac{\sqrt{3}}{x})^2}=\frac{\sqrt{x^2-3}}{x}[/m]
[m]tg(\frac{t}{2}+\frac{π}{4})=\frac{tg\frac{x}{2}+tg\frac{π}{4}}{1-tg\frac{t}{2}\cdot tg\frac{π}{4}}=\frac{tg\frac{t}{2}+1}{1-tg\frac{t}{2}}=\frac{sint+1+cost}{1+cost-sint}=\frac{\frac{\sqrt{x^2-3}}{x}+1+\frac{\sqrt{3}}{x}}{1+\frac{\sqrt{3}}{x}-\frac{\sqrt{x^2-3}}{x}}=\frac{1+\sqrt{3}+\sqrt{x^2-3}}{1+\sqrt{x}-\sqrt{x^2-3}}[/m]
О т в е т. [m]=ln|\frac{1+\sqrt{3}+\sqrt{x^2-3}}{1+\sqrt{x}-\sqrt{x^2-3}}|-\frac{\sqrt{x^2-3}}{x}+C[/m]