Задать свой вопрос
*более 50 000 пользователей получили ответ на «Решим всё»
Задача 71778
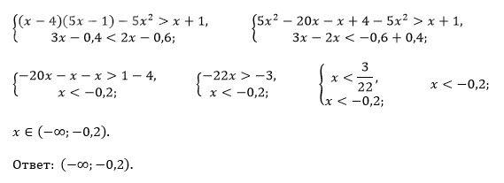
{ (x - 4)(5х - 1) - 5х^2 > х+1, { 3х -...
Условие
645e00056d339f07d323f91a
25.05.2023 15:13:03
{ (x - 4)(5х - 1) - 5х^2 > х+1,
{ 3х - 0,4 < 2х - 0,6;
математика 8-9 класс
947
Решение
5f3eaa23faf909182968dde0
25.05.2023 16:11:24
★
Написать комментарий
Меню
Решим всё
Найти задачу
Категории
Статьи
Тесты
Архив задач
Присоединяйся в ВК