Задать свой вопрос
*более 50 000 пользователей получили ответ на «Решим всё»
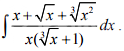
Задача 71644
Найдите интегралы от иррациональных...
Условие
645de8806d339f07d323f5ce
18.05.2023 20:35:08
Найдите интегралы от иррациональных функций,
используя соответствующую замену переменной
математика ВУЗ
152
Решение
5f3eaa23faf909182968dde0
18.05.2023 21:43:24
★
Написать комментарий
Меню
Решим всё
Найти задачу
Категории
Статьи
Тесты
Архив задач
Присоединяйся в ВК