Задать свой вопрос   *более 50 000 пользователей получили ответ на «Решим всё»

Задача 71640 Исследовать на условную сходимость и...

Условие

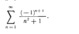
Исследовать на условную сходимость и абсолютную сходимость знакочередующиеся ряды.

математика ВУЗ 168

Решение

Ряд из модулей

∑ [m]\frac{1}{n^2+1}[/m] сходится, потому что эквивалентен ∑ [m]\frac{1}{n^2}[/m] - обобщенный гармонический ряд вида:

∑ [m]\frac{1}{n^{p}}[/m], который сходится при p>1 и расходится при p ≤ 1

Данный ряд сходится абсолютно

Написать комментарий

Меню

Присоединяйся в ВК