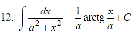
выделение полного квадрата в знаменателе подынтегрального
выражения
∫ dx/(2x-3-4x^2)=-(1/4) ∫ dx/(x-(1/4))^2+(11/16))dx
табличный интеграл
a^2=11/16
a=sqrt(11)/4
=(-1/4) * (1/sqrt(11)/4) arctg[b]([/b] (x-(1/4))/sqrt(11)/4[b]) [/b]+C =-1/sqrt(11) arctg[b]([/b](4x-1)/sqrt(11)[b])[/b]+C
