Задать свой вопрос
*более 50 000 пользователей получили ответ на «Решим всё»
Задача 71553
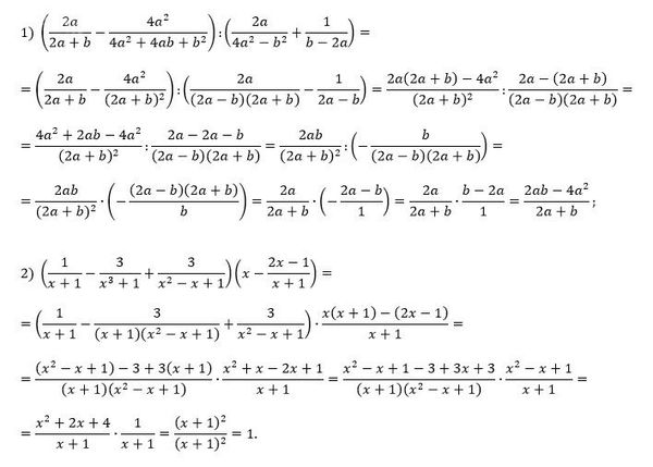
6.100. Упростить выражение....
Условие
618e78863d2af604435c8345
17.05.2023 08:19:05
6.100. Упростить выражение.
математика 6-7 класс
238
Решение
5f3eaa23faf909182968dde0
17.05.2023 11:23:55
★
Написать комментарий
Меню
Решим всё
Найти задачу
Категории
Статьи
Тесты
Архив задач
Присоединяйся в ВК