Задать свой вопрос
*более 50 000 пользователей получили ответ на «Решим всё»
Задача 71442
...
Условие
63f8f9b7612460596f081657
13.05.2023 00:19:45
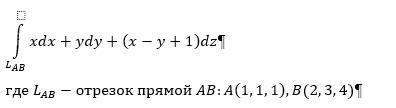
Вычислите криволинейный интеграл: ∫ xdx+ydy + (x-y+1)dz
математика ВУЗ
281
Решение
5f3eaa23faf909182968dde0
14.05.2023 13:02:34
★
Написать комментарий
Меню
Решим всё
Найти задачу
Категории
Статьи
Тесты
Архив задач
Присоединяйся в ВК