Задать свой вопрос   *более 50 000 пользователей получили ответ на «Решим всё»

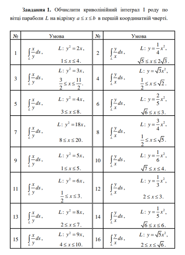
Задача 71346 сделайте кто межет номер 1 15...

Условие

сделайте кто межет номер 1 15

нет в списке ВУЗ 188

Решение

[m]y=3\sqrt{x}[/m]

[m] φ (x)=3\sqrt{x}[/m]
[m] φ` (x)=\frac{3}{2\sqrt{x}}[/m]



[m]= ∫^{10} _{4}\frac{x}{3\sqrt{x}}\cdot \sqrt{1+(\frac{3}{2\sqrt{x}})^2}dx=[/m]

[m]=∫^{10} _{4}\frac{\sqrt{x}}{3}\cdot \sqrt{\frac{4x+9}{4x}}=\frac{1}{6}∫^{10} _{4}\sqrt{4x+9}dx=\frac{1}{24}\cdot∫^{10} _{4}\sqrt{4x+9}d(4x+9)=\frac{1}{24}\cdot (\frac{(4x+9)^{\frac{3}{2}}}{\frac{3}{2}})|^{10} _{4}=\frac{1}{36}(49^{\frac{3}{2}}-25^{\frac{3}{2}})=[/m]

[m]=\frac{1}{36}(7^3-5^3)=[/m]

Написать комментарий

Меню

Присоединяйся в ВК