Задать свой вопрос   *более 50 000 пользователей получили ответ на «Решим всё»

Задача 71120 (sin xdx)/(cos^2 x-9)...

Условие

(sin xdx)/(cos^2 x-9)

математика ВУЗ 157

Решение

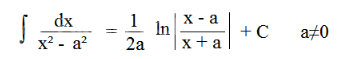
d(cosx)=-sinxdx

⇒ sinxdx=-du

u=cosx

[m]∫\frac{sinxdx}{cos^2x-9}=- ∫\frac{du}{u^2-9}= -\frac{1}{2\cdot 3}ln|\frac{cosx-3}{cosx+3}|+C[/m]

Написать комментарий

Меню

Присоединяйся в ВК